「Mathematica」と 高校数学
(3次関数と求積・・Mathematicaを使って)
y=x^3 の x=1における接線とで囲まれた部分
![]()

![]()
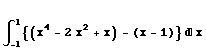
<求積→面積について>(公式など)
上記の部分の面積は次式で求められる
![]()
![]()
(一般的には次のような公式を使えばもっと簡単になる)
![]()
![]()
![]()
(4次関数と接線に囲まれた部分の面積)
![]()
![[Graphics:4jigraphgr3.gif]](4jigraphgr3.gif)
上の曲線と直線(接線)で囲まれた部分の面積は以下の計算で求められる。
![]()
なお、上記のように x=α、βを接点とするとき、次の公式で算出できる。
![]()
因数分解して
(「Mathematica
」を使って連立方程式を解く)
<2元一次の連立方程式> 2x+3y=-4 ・・(1) 3x-2y=7 ・・(2) Solve関数を使って単純に解く(解法1)![]()
逆行列を使って解く(解法2)
![]()
![]()
![]()
行列の乗算で解く(解法3)
![]()
LinearSolve 関数を使って解く(解法4)
![]()
![]()
<3元一次の連立方程式> x-2y+z = -4・・(1) 3x+2y-z = 8・・(2) -x+3y+5z = 0 ・・(3) (解法1)![]()
(解法2)
![]()
![]()
![]()
(解法3)
![]()
(解法4)
![]()
![]()
Mathematicaについて 微分方程式とMathematica 数学あれこれ 数学のページへ トップページへ